Epigenetics is one of the most exciting areas of research and promises to impact all sorts of biological systems. DNA methylation has recently been shown to come in methylcytosine (mC) and 5-hydroxymethylcytosine (5hmC) flavours. Usually analysis of mC is carried out using bisulfite conversion or enzymatic digestion. The gold standard is probably bisulfite sequncing and a few groups have made significant advances using Bis-seq methods on Human genomes.
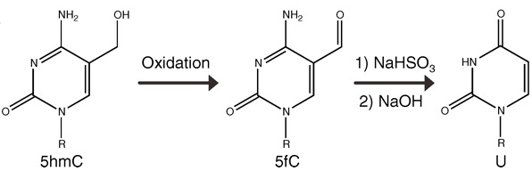
The analysis of 5hmC using the same approach appears to be an expensive habit to pick up. There are two methods to analyse 5hmC, OxBS and TAB-seq, both require seqencing of at least two Human genome-equivalents to allow subtraction of one from the other revealing the 5hmC signature. As it currently takes about 4 HiSeq lanes to do 1 Bis-seq run then a 5hmC experiment is likely to be at least 1 flowcell per sample. And at $10,000 or more that’s an expensive habit to feed!
5hmC done cheap: It should be possible to make use of methylation microarrays to reduce the costs of analysis. Illumina’s 450K methylation array allows researchers to process 12 samples at a time generating quantitative methylation measurement of individual CpG’s robustly and at reasonable cost. The array was developed as a collaboration by methylation experts and can be used for EWAS studies as well as individual research projects.
By using the OxBS or TAB-seq methods to generate inputs for the 450k arrays it should be possible to get robust 5hmC signatures for a reasonable portion of the genome. And we should be able to do this at a cost that allows 1000’s of samples to be run. Does 5hmC regulate gene expression itself or do more than act as an intermediary between methylated or not? Large-scale 5hmC projects are going to highlight where and how 5hmC acts in a biological context.
The 450k arrays also support analysis of FFPE-samples so it may be possible to extend the analysis to huge-cohorts of patient samples with clinical follow-up. By using the Infinium FFPE DNA Restoration Solution users can QC and “rescue” samples prior to analysis.
Making the methods work is an ongoing challenge and much of that requires improvements of the underlying chemistry used in the bisulfite conversion most of us have used at some point.
However Shankar Balasubramanian’s latest company is Cambridge Epigenetix and aims to commercialise the OxBS technology. If anyone can make the chemistry work better I’m sure Shankar stands a chance. I wouldn’t be writing this blog and you wouldn’t be reading it without his earlier work!






Leave A Comment